Gardel y su madre en el "DOM PEDRO" (1893)
Gardel en el "INFANTA ISABEL" y su encuentro con Caruso (1915)
Gardel en el "ANTONIO DELFINO" (1923)
Gardel en el "CONTE VERDE" (1927, 1928, 1931)
Gardel y el Caitán Olivari en el "Conte Rosso" (1931)

![]() |
| El "Conte Rosso", de la compañía Lloyd Sabaudo |
Su construcción comenzó en Escocia poco antes de la primera Guerra
Mundial, pero durante la conflagración se modificó la estructura y se lo
convirtió en uno de los primeros portaaviones británicos, el « HMS
Argus ».
Luego de las hostilidades bélicas, se
construyó el nuevo navío que fue bautizado « Conte Rosso »,
sobrenombre de Amadeo VII de Saboya -hijo del « Conte Verde » que, a
diferencia de su padre prefería las ropas de color rojo-, quien murió de manera
sospechosa a los 23 años, en 1391.
![]() |
| Planos del "Conte Rosso" |
El paquebote inició sus travesías en 1922 en la línea marítima Génova-Nueva York y en 1928 fue afectado a la línea de Génova hacia América del Sud, junto a su gemelo “Conte Verde”.
![]() |
![]() |
| Foto aérea de Niza (Fuente : www.geoportail.gouv.fr) |
Allí los pasajeros eran llevados a tierra en pequeñas embarcaciones, como se observa en la tarjeta postal del transatlántico italiano "Augustus" de "Navigazione Generale Italiana", donde vemos a los pasajeros descendiendo por la escalerilla del navío.
![]() |
| Escala en Villafranca del paquebote "Augustus", lanzado en 1927. (Tarjeta postal - Colección personal de Georges Galopa) |
![]() |
| Detalle del trasbordo de pasajeros del "Augustus" |
En 1932 el "Conte Rosso" comenzó a cubrir la ruta marítima Trieste-Bombay-Shanghai; el 3 de diciembre de 1940 fue transferido a la marina militar como transporte de tropas hasta que el 24 de mayo de 1941 a las 20:40 Hs., cuando transportaba tropas hacia el Norte de África, fue torpedeado por el submarino inglés « HMS Upholder »[2] y se fue a pique en pocos minutos provocando la muerte de 1.297 de las 2.600 personas que llevaba.
Por su suntuosidad y la excelencia del
servicio que brindaba, el « Conte Rosso » quedó inmortalizado en el
tango « Barajando »[3]
de Nicolás Vaccaro y Eduardo Escáriz Méndez que Gardel grabó[4]
el 11 de diciembre de 1929:
Con las cartas de la vida por mitad bien
marquilladas,
Como guillan los malandros carpeteros de
cartel,
Mi experiencia timbalera y las treinta bien
fajadas,
Me largué por esos barrios a encarnar el
espinel.
Ayudado por mi cara de galaico almacenero
Trabajándose a la sierva de una familia de
bien,
Y mi anillo de hojalata con espejo vichadero,
Me he fritado muchos vivos, como ranas al
sartén.
Pero, en cambio, una percanta que me tuvo
rechiflado
Y por quien hasta de espaldas con el lomo
caminé,
Me enceró con un jueguito tan al lustre
preparado
Que hasta el pelo de las manos de cabrero me
arranqué.
Mientras yo tiraba siempre con la mula bien
cinchada,
Ella, en juego con un coso mayorengo y gran
bacán,
Se tomaba
el Conte Rosso, propiamente acomodada,
Y en la lona de los giles me tendió en el
cuarto round.
Me la dieron como a un zonzo, pegadita con
saliva,
Mas mi cancha no la pierdo por mal juego que
se dé
Y, si he quedao arañando como gato panza
arriba,
Me consuelo embolsicando la experiencia que
gané.
En el naipe de la vida, cuando cartas son
mujeres,
Aunque lleve bien fajadas pa'l amor las 33,
Es inútil que se prendan al querer con
alfileres,
Si la mina no es de un paño, derechita y sin
revés.
No es éste su único vínculo con el tango,
sino que el 10 de febrero de 1928 un programa musical de abordo incluía
« Un Tropezón », de Raúl de los Hoyos y Luis Bayón Herrera, que Gardel
habia grabado en julio del año anterior[5],
hecho que testimonia el éxito del disco y el creciente renombre del Cantor en
ámbitos internacionales, aún antes de debutar en los escenarios de París.
![]() |
| Menú del almuerzo que el "Conte Rosso" ofreció el 20 de diciembre de 1927 |
![]() |
| Billete de segunda clase Barcelona-Génova, septiembre de 1931 |
LOS VIAJES DE GARDEL
Gardel utilizó los servicios de la Compañía Lloyd Sabaudo
desde 1927 -cuando viajó en el « Conte Verde »- hasta 1933, cuando se fue
de Argentina a bordo del « Conte Biancamano ».
Cuatro de esas travesías sucedieron en el
« Conte Rosso » y no es difícil imaginarlo paseando por sus dependencias.
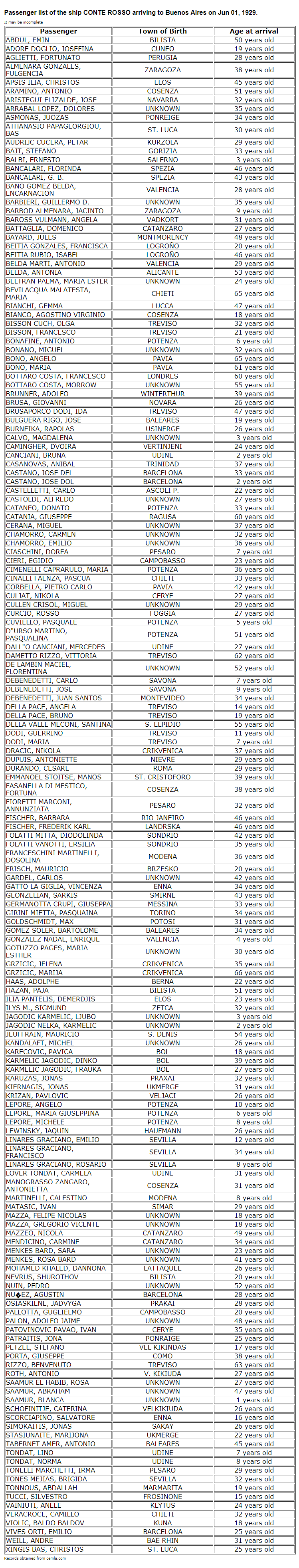
PRIMER VIAJE: Barcelona-Buenos Aires, 1928
Los diarios españoles anunciaban la partida del « Conte Rosso » el viernes 1 de junio con una travesía de doce días y medio. El pasaje del barco incluía el traslado en ferrocarril desde otros puntos de España hasta Barcelona y, para la tercera clase, médico y cocina española. El pasaje más económico costaba 619,90 pesetas y el de primera clase, 2.500.
Gardel había actuado con gran éxito en España
y había asumido su primer compromiso contractual en París, por cuanto regresaba
a Buenos Aires con el fin de renovar el repertorio y –más importante aún-,
incorporar otro guitarrista que enriqueciera el acompañamiento de José Ricardo
y Guillermo Barbieri.
Así, con ese bagaje de triunfos y proyectos, fue al puerto de Barcelona acompañado por un grupo de amigos y simpatizantes –entre ellos Josep Samitier, « el mago del balón »-, con quienes se fotografió en la cubierta.
En este primer viaje Gardel utilizó el servicio especial de « garage de abordo » que ofrecía la compañía, ya que traía para Argentina su flamante Graham Paige. Por esta razón, telegrafió a su amigo Armando Deferrari « Que el ‘Aviador’[6] no se comprometa con nadie porque llevo coche ».
Entre los pasajeros venía el célebre cantante
bajo de óperas polaco Adamo Didur y una compañía de artistas alemanes que iba a
incorporarse a la « Companhia Lyrica Official » del empresario
Scotto : « Con Adamo Didur viajan los siguientes artistas :
El director Egou Pollak, los actores Otto Wolf, Hany Steyer, Roberto Edliuger
(SIC), Emilio Schipper y Elly Ga Krasser y el maestro austríaco Leopoldo
Materna », anunciaba la prensa brasileña.
Los archivos argentinos no conservan la totalidad de los listados de pasajeros de la época, pero la comunidad hebrea los ha reconstruido ordenando la información suministrada por el CEMLA, confirmando la presencia de algunos de los artistas mencionados y ampliando la nómina.
![]() |
| (Nótese que indica el 1 de junio como fecha de arribo, cuando en realidad ese día partió de Barcelona) |
El tenor uruguayo Víctor Damiani –quien venía
de presentarse en La Scala de Milán- y su amigo José Ganduz desembarcaron en
Montevideo, por cuanto no fueron incluidos en el listado precedente, donde
constan los arribos a Buenos Aires.
Afortunadamente, una serie de fotografías
tomadas durante la travesía dejaron constancia de agradables momentos de
camaradería junto al cantante polaco Adamo Didur y su prometida Marguerite
Vignon (bailarina francesa de ballet con quien contrajo matrimonio pocos meses
más tarde).
La diferencia en la vestimenta de Gardel y
sus acompañantes muestra que las fotografías de la columna izquierda y las de la derecha se tomaron en dos momentos
diferentes de la travesía.
![]() |
El 12 de junio el « Conte Rosso » hizo escala en Santos, donde descendieron 86 pasajeros y 603 continuaron en tránsito. Por la planilla de Migraciones sabemos que el capitán se llamaba Amedeo Pinceti[7] y la tripulación estaba compuesta por 422 personas.
![]() |
| El capitán Amedeo Pinceti, a cargo del "Conte Rosso" en 1928 |
El jueves 14 de junio en horas de la noche el
transatlántico amarró en la dársena Norte del puerto de Buenos Aires. En el
Abasto, Doña Berta celebraba su 63º cumpleaños y el regreso de Gardel corolaba
su festejo. (Qué le habrá regalado...?)
SEGUNDO
VIAJE: Barcelona – Buenos Aires, 1929
El 2 de junio, « El Plata » de
Montevideo reproducía « un diario de Barcelona (…) con una interesante
crónica motivada por la presencia de Carlos Gardel en aquella ciudad (…)
El viernes estuvimos tres horas con él. Cenamos, charlamos, bebimos y, de paso,
favoreció una interviú (…) El 5 de junio
embarcará para Buenos Aires con el ‘Giulio Cesare’… ». Pese a la
contundencia, la información era inexacta: el « Giulio Cesare » no
zarparía el 5 de junio sino el 7 pero, además, Gardel abandonó España el viernes
31 de mayo en el « Conte Rosso ».
Luego de una prolongada estadía en París –donde se lució en los escenarios del Fémina, Florida, Ópera y Empire-, Cannes y Madrid, Gardel regresaba a su Buenos Aires querido con el sinsabor del alejamiento de su guitarrista José Ricardo -quien lo había acompañado desde 1915-, por desavenencias con José María Aguilar, incorporado pocos meses antes.
El 11 de junio, tras doce días de viaje, hizo escala en el puerto de Santos (Brasil), siguiendo su itinerario Génova-Villafranca-Barcelona-Río de Janeiro-Santos-Montevideo. A partir de esta fecha, los viajes que Gardel realice en el "Conte Rosso" contarán con el capitán Vittorio Olivari (en oportunidades citado como Calegari) al mando de la tripulación, en este caso de de 409 personas.
![]() |
| Encabezado de la planilla migratoria brasileña que registra el ingreso del "Conte Rosso el 11 de junio de 1929 |
![]() |
| El comandante Olivari en el "Conte Rosso" ("Diario de Noticias". Rio de Janeiro, 10 de junio de 1931) |
El 17 de junio a las 13 :00 el « Conte Rosso » amarró en la Dársena Norte del puerto de Buenos Aires, « conduciendo numerosos pasajeros, correspondencia y carga general ».
También llegaba a Buenos Aires el periodista brasileño Dr. Paulo de Magalhanes (director de la ‘Ilustración Nacional’, de ‘A Patria’ y colaborador de ‘O Paiz’), el ex Ministro Plenipotenciario de Italia en Argentina Sr. Bottaro Costa, el Ing. José Ciabatti, G. B. Pellizatti, el Dr. Alberto Stucchi, el tenor Pedro Lafuente y la soprano Rosa Menke.
No todos esos nombres –destacados
oportunamente por « Crítica »- se conservan actualmente en los
registros de Migraciones, pero es interesante recorrer el listado de pasajeros
que reproducimos a continuación y que registra los nombres de Miguel Bonano y
Guillermo Desiderio Barbieri. En cambio, no encontramos el regreso del
« Aviador » Antonio Sumaje como tampoco el del Graham Paige que Gardel había llevado
para movilizarse en España y Francia.
![]() |
| Nótese una vez más la disidencia en la fecha de arribo con respecto al CEMLA |
Gardel fue recibido por José Razzano –por
entonces su representante artístico- y concedió un reportaje que el diario
« La Nación » publicó al día siguiente, en el que daba cuenta del éxito
obtenido en Europa.
TERCER
VIAJE: Buenos Aires – Villafranca, 1930
El 4 de diciembre de 1930 el « Conte
Rosso » llegó a Buenos Aires proveniente de Génova, de donde habia zarpado
el 20 de noviembre. Dos días más tarde, luego de recargar combustible y poner
en orden las dependencias del navío, emprendía su regreso a Italia.
Así, el sábado 6 de diciembre de 1930 a las 22:00 Gardel embarcó en Buenos Aires con destino a Villafranca, acompañado por sus guitarristas Barbieri, Aguilar y Riverol. Ese año había realizado una importante gira por Buenos Aires, el interior de Argentina y por Uruguay, había acompañado a las selecciones de fútbol de estos dos países en el primer campeonato mundial y había debutado en el cine « parlante » con el novedoso sistema « movietone », bajo la dirección de Eduardo Morera.
Según José Razzano, en el mismo barco viajaba Luis Bayón Herrera y Manuel Romero « que han decidido visitar Madrid, Barcelona y París con su compañía del teatro Sarmiento »[8] y agrega que durante la travesía surgió el proyecto de « Luces de Buenos Aires », primer largometraje protagonizado por Gardel para el sello Paramount, dirigido por Adelqui Millar.
![]() |
| El "Conte Rosso" llegando al puerto de Río de Janeiro. El paisaje que vio Gardel |
El 10 de diciembre hizo escala en Río de Janeiro, donde desembarcó Enrique Rodríguez Larreta. El capitán seguía siendo Vittorio Olivari, la tripulación estaba compuesta por 413 personas, los pasajeros en tránsito eran 546 y el médico de abordo Alberto Parenti.
Al día siguiente Gardel cumplió 40 años y,
aunque no se conservan registros fotográficos ni testimoniales, podemos deducir
que celebró con sus compañeros de viaje y amistades circunstanciales.
![]() |
| Gardel y el capitán Olivari (¿1929, 1930 o 1931 ?) |
El 21 de diciembre el “Conte Rosso” hizo escala en Barcelona, según quedó registrado en el semanario “La Vanguardia”:
![]() |
| "La Vanguardia" de Barcelona, 23 de diciembre de 1930 |
Con base en esta información, podemos
establecer la llegada a Villafranca el
22 de diciembre de 1930: sabiendo que la velocidad comercial era de 19 nudos, el
“Conte Rosso” necesitaba aproximadamente 13 horas para recorrer las 277 millas
marinas que mediaban entre ambas escalas.
![]() |
| En la rada de Villafranca, Gardel debió descender por una escalerilla del "Conte Rosso" hasta un bote que lo llevó a tierra firme. |
CUARTO
VIAJE: Buenos Aires – Villafranca, 1931
El miércoles 28 de octubre de 1931 a las
22:00 Gardel partió con rumbo a Europa en su último viaje a bordo de este
vapor. Después de una estadía de apenas dos meses en Buenos Aires, regresaba al Viejo
Mundo con el propósito de descansar y gestionar nuevos proyectos
cinematográficos luego del éxito de « Luces de Buenos Aires » que le
abría nuevas puertas en la empresa Paramount.
| Si bien esta fotografía suele ubicarse en diciembre de 1930, por la vestimenta y el sobretodo que Corsini lleva en su brazo adhiero a Carlos y Pablo Taboada, quienes la fechan en octubre de 1931 |
| De izq. a Der: Alfredo De Ferrari, Antonio Sumaje, Francisco Canaro (abrazando a Gardel), Armando Defino y Luis Riccardi |
El 31, luego de dos días y 19 horas de travesía –que incluyó una escala en Montevideo-, el « Conte Rosso » echó anclas en Santos. El capitán seguía siendo Vittorio Olivari y la tripulación constaba de 411 personas.
El diario “A Noite” de Río de Janeiro publicó en su edición del 2 de noviembre un artículo referido a los pasajeros del “Conte Verde” y, por separado, un brevísimo reportaje a Gardel.
LOS QUE VIAJAN EN EL “CONTE ROSSO”
Partió para Viena el Dr. Franz Messner – Siguió para Roma el General Pietro Oltolini.
FOTO: Sentado, el Dr. Antonio Reischel, Ministro Plenipotenciario de Austria en Brasil, acompañado por su señora y por la señora Messner. De pie, el representante del Cabo Submarino Italiano y el Dr. Franz Messner.
Luego de una reseña sobre los motivos del viaje de Franz Messner, el Dr. Pietro Oltolini y el General Pietro Marini, publicó la nómina de los pasajeros más destacados:
“Entre los muchos pasajeros que viajan en el paquebote de Lloyd Sabaudo, notamos los siguientes: Giuseppe d’Andrea y familia, capitán César Gerolimich y señora, Hernán Greenwood, Hernán Honeysett, Berta E. de Honeysett, maestro Silvio Piergili, Berenice de Piergili, Augusto Hercules Scarpini, Federico García Sanchez (SIC), José María Jaureguialzo, Arnaldo Angaroni, Benjamín P. Montes, Henry A. Picot, Carlos Gardel, José González, Maximina González, María Luisa Vivel de Merenciano, Ruggero (ilegible), Dr. Manoel Novoa, Margarida O’Neill, Domingo Rava, Conde Mariangelo Matarazzo, Dr. Pedroli, Dr. León L. Reits, Familia Azevedo, P. Pini, Profesor Enrico Vio y muchos otros”
En la última página, un espacio destacado para Gardel:
Carlos Gardel viaja a bordo del “Conte Rosso”
Carlos Gardel, el ídolo de Argentina, el maestro del tango que hace delirar a todo París y que acaba de firmar un contrato para filmar una serie de filmes en los Estados Unidos de Norteamérica, pasó por Río a bordo del “Conte Rosso”.
Hablamos con Gardel sobre sus proyectos artísticos.
Gardel, lleno de entusiasmo, dijo a A NOITE que su mayor éxito es el tango “Confesión”, de Enrique Discépolo, que toda la Argentina canta y que será llevado a la pantalla por ser representativo de la canción regional.
Preguntamos al cantor porteño si era posible conocer la letra, a lo cual gentilmente escribió los siguientes versos…”
El artículo finaliza con los versos del tango escritos de puño y letra de Gardel. Se comprende, entonces, que la foto que ilustra la nota –donde se lo observa lapicera en mano- fue tomada en este momento.
Escuchar "Confesión"
Por la prensa española sabemos que el 9 de noviembre el « Conte Rosso » hizo escala en Las Palmas de Canaria y que junto con Gardel viajaba el charlista español Federico García Sanchiz, « el general italiano Piero Marini, la condesa Mariangela Matarazzo y el doctor Pietro Ottolini, agente general y director de la Compañía naviera Lloyd Sabaudo en Brasil ».
Esa información periodística permitió determinar la fecha de la fotografía de Gardel junto a Federico García Sanchiz y al
capitán Vittorio Olivari, erróneamente datada en 1926.
![]() |
| Gardel en el "Conte Rosso" en 1931. A la izquierda, con el capitán Olivari. A la derecha con una persona no identificada y el charlista español Federico Garía Sanchiz. |
El 12 de noviembre el "Conte Rosso" hizo una escala de una hora en Barcelona, donde Gardel se reencontró con Josep Samitier y con Manuel Somacarrera, periodista de la revista "Films Selectos" a quien le concedió una interesante nota en una taberna del puerto.
Horas más tarde, desembarcó en Villafranca.
| Revista "Films Selectos" Año II Nº 63, 26 de diciembre de 1931 |
La entrevista señala claramente que Gardel iría a París en automóvil (seguramente su propio "Graham Paige", que cumplía una prolongada permanencia en Europa).
Para transitar los 903 kilómetros que separan Niza de París a la velocidad promedio de 60 Km/h propia de la época, eran necesarias unas 15 horas de ruta (dos días de viaje), el mismo tiempo que demoraba el tren, donde disponía de vagón-dormitorio, servicio de comedor y baño. Así, la elección del coche debió obedecer a la comodidad que le ofrecía para movilizrse dentro de la capital y realizar breves excursiones por los alrededores.
A noventa años del último viaje de Gardel en el « Conte Rosso », esta reseña de los cincuenta días que vivió en él nos lleva a la trastienda de la historia de su carrera extraordinaria.
Ana Turón
Colaboración : Georges
Galopa
Azul (Bs. As.), Argentina - Noviembre 27 de 2021
BIBLIOGRAFÍA
CONSULTADA :
LIBROS:
DAUS, Roberto. Gardel en Imágenes (Almendra
Music, 1998)
GARCÍA JIMÉNEZ, Francisco. Vida de Carlos
Gardel (contada por José Razzano). Bs. As., 1946.
GOBELLO, José Letras de Tango. Selección
(1897-1981). Centro Editor, 1997
GUERRERO CABRERA, Manuel. Gardel en España.
MORENA, Miguel Ángel : Historia
Artística de Carlos Gardel. Estudio Cronológico. Edición Definitiva Corregidor,
2008.
PELUSO, Hamlet – VISCONTI, Eduardo. Carlos
Gardel y la Prensa Mundial (Crónicas, comentarios y reportajes de su época).
Ed. Corregidor, 1991
ARCHIVOS PÚBLICOS:
Hemeroteca de Brasil.
Hemeroteca de España.
Filmoteca de Cataluña
Hemeroteca de Francia.
Registros Migratorios de Brasil
Registros Migratorios de Argentina
ARCHIVOS PRIVADOS:
GALOPA, Georges.
TURÓN, Ana.
INTERNET :
https://www.buenosaires.gob.ar/museocasacarlosgardel/los-barcos-de-carlos-gardel
https://fr.wikipedia.org/wiki/SS_Conte_Rosso
http://www.timetableimages.com
https://barpequeno.wordpress.com
[1] La escala en Cádiz no se
menciona en todas las publicidades.
[2] Este submarino fue atacado el 14 de abril de 1942 por el torpedero italiano « Pegaso ».
[3] Estrenado en 1928 en el cine « Metropol » por la orquesta dirigida por Roque Biafore
[4] Con el acompañamiento de Barbieri y Aguilar, matriz e 5031 y e 5031-1 (para el sello Nacional Odeón)
[5] Gardel realizó dos tomas de
este disco el 8 y el 22 de julio de 1927 (matrices 1003 y 1003-1
respectivamente), en ambas oportunidades con las guitarras de José Ricardo y
Guillermo Barbieri.
[6] Apodo de su chofer, Antonio
Sumaje
[7] Erróneamente suele
mencionárselo como capitán del “Conte Verde” en 1930.
[8] García Jiménez, “Vida de
Carlos Gardel” (contada por José Razzano) Bs.As., 1946. (Existen versiones en
contrario)





























